Recency
The SEC’s proposed new rules, which would require public corporations to disclose climate-related information, have been criticized by industry groups
Viewed by You are the first to view
Explore how Ericsson, Smart Communications, Qualcomm & the Philippine Normal University are training teachers to use technology in the classroom for learning and instruction
Viewed by You are the first to view
U.S. Retail Sales Rose 0.3% in August as Pressure from Gas Prices Eased
Interested?
Viewed by You are the first to view
Netflix Inc (NASDAQ: NFLX) shares are trading higher Thursday following positive analyst coverage from Evercore ISI.
Viewed by You are the first to view
Courtesy of #DStv403
Interested?
Viewed by You are the first to view
Autonomous mobility has the potential to dramatically transform the automotive insurance market, from underwriting to claims and beyond.
Viewed by You are the first to view
Soaring demand for electric vehicles could benefit a slew of electric vehicle stocks going forward, Needham says.
Viewed by You are the first to view
Oil falls over 1% on demand concerns, strong dollar
Interested?
Viewed by You are the first to view
/PRNewswire/ -- The Thermoplastic Polyurethane Market size is expected to grow by USD 976.7 million during 2021-2026, at a CAGR of 6.38% during the forecast...
Viewed by You are the first to view
It is no longer possible to mine Ether on the network, since the powerful graphic cards used to validate transaction data are being replaced with investors that stake Ether
Viewed by You are the first to view
Let's get you up to speed with the day's stories. Passengers departing from Changi Airport to pay higher fees and levies from Nov 1 From Nov 1, passenger
Viewed by You are the first to view
Could Disney+ be combining with another major streaming service to make a massive platform, among the biggest around?
Viewed by You are the first to view
Store Capital Corp. undefined, a Scottsdale, Ariz.-based real estate investment trust, said Thursday it has agreed to be acquired by Singaporean sovereign...
Viewed by You are the first to view
Fears construction costs of national children’s hospital may rise due to pandemic, inflation and Brexit
Viewed by You are the first to view
The first potential strike of Amazon (AMZN) workers in the UK will be voted on by workers at a Coventry warehouse, according to a statement from the GMB union.
Viewed by You are the first to view
According to monthly subscriber data from the Telecom Regulatory Authority of India (TRAI), Reliance Jio's total mobile customer count has now risen to 41.59 crore. Meanwhile, Vodafone Idea's subscriber count slid to 15.42 crore, having lost 12.42 lakh custo…
Viewed by You are the first to view
The union government will provide subsidies to the developers that will look to set up charging infrastructure in India, which will then be given to the state electricity distribution companies, the official added
Viewed by You are the first to view
Food costs climbed again in August, bringing the year-over-year gain to 11.4%, according to the latest consumer price index figures.
Viewed by You are the first to view
Thailand's Supreme Court on Thursday dismissed a final appeal by the local subsidiary of car giant Toyota over a disputed $270 million import tax bill following a decade of legal wrangling.
Viewed by You are the first to view
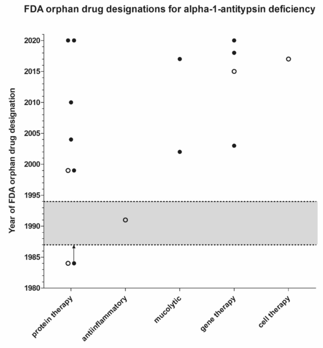
Scientific Reports - Orphan drug development in alpha-1 antitypsin deficiency
Viewed by You are the first to view
Harsha Engineers International IPO | The public issue comprises a fresh issue of Rs 455 crore which will be utilised for repaying debts, capex towards purchase of machinery, infrastructure repairs and renovation of existing production facilities including off…
Viewed by You are the first to view
These three charts show the surprising resilience of global trade by volume in the face of shocks, and how the centre of global trade gravity is shifting.
Viewed by You are the first to view
Hanoi's popular "train street" is once again the subject of a significant crackdown. The street, where trains travel along a track just inches away from homes and businesses, has long been one of the most popular tourist sites in Hanoi.
Interested?
Viewed by You are the first to view