• You need to sign in or sign up before continuing.
Close
Recency
With simulations that go into finer details than ever before, Brooke Polak of the University of Heidelberg and Hubert Klahr at the Max Planck Institute for Astronomy (MPIA) have modeled a key phase in the formation of planets in our solar system: the way that…
Viewed by You are the first to view
Cells in the adult liver were thought to divide rarely. But a study led by Stanford Medicine researchers found intermittent fasting causes rapid cell division.
Viewed by You are the first to view
Astronomical phenomena tend to occur over timespans that dwarf our human scale — a galaxy changes over millions and billions...
Viewed by You are the first to view
An animated time-lapse reveals orbiting exoplanets in a distant star system.
Viewed by You are the first to view
A research group has developed a new learning method for artificial intelligence that combines classification performance for data with multiple labels with the ability to learn continually from data. Numerical experiments on real-world multi-label data indic…
Viewed by You are the first to view
New research suggests nitrogen released by gas-powered machines causes dry soil to let go of carbon and release it back into the atmosphere, where it can contribute to climate change.
Added by Auto importer
Interested?
Viewed by You are the first to view
A strange spiral was caught on video earlier this month as it soared over Maunakea, Hawaii, and a telescope operated by the National Astronomical Observatory of Japan.
Interested?
Viewed by You are the first to view
New observations contributing to galaxy formation theories have been presented by astronomers from the Cosmic Dawn Center using the James Webb Space Telescope.
Viewed by You are the first to view
A new e-book discusses developments in liquid crystal elastomer (LCE) technology achieved with support from the APRA project. Authored by professor of polymer physics Eugene M. Terentjev of APRA project host University of Cambridge, the e-book sheds light on …
Viewed by You are the first to view
Comet C/2022 E3 (ZTF) continues to treat skywatchers.
Added by Auto importer
Interested?
Viewed by You are the first to view
A new study of rubble pile asteroids means we may have to rethink planetary defense strategies
Added by Auto importer
Interested?
Viewed by You are the first to view
Heart-stopping video footage shows the moment wildlife photographer Taylor Horton puts his arm around an 11-foot great white shark off the coast of South Carolina.
Viewed by You are the first to view
At the University of Gothenburg, a new journal article written by researchers has stated that shining light on a water droplet causes effects that are similar to that of an atom. This can help us understand the functioning of atoms.
Viewed by You are the first to view
Green Comet Stargazers hoping to glimpse as ancient green comet are being urged to look to the skies tonight. The rare celestial visitor is expected to shine brightest during this week after being only visible last month thorough telescope. The technical name…
Viewed by You are the first to view
Use the Rich Result Test to see what Google results can be generated for your pages and the schema markup validator for generic schema validation.
Added by Auto importer
Interested?
Viewed by You are the first to view
Cryo-EM is used to visualize the SARS-CoV-2 RTC bound to each of the natural NTPs as well as remdesivir triphosphate (RDV-TP) in states poised for incorporation, explaining the interactions required for NTP recognition and RDV-TP selectivity.
Interested?
Viewed by You are the first to view
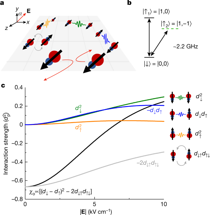
Tunable itinerant spin dynamics enabled by dipolar interactions are demonstrated with polar molecules, establishing an interacting spin platform that allows for exploration of many-body spin dynamics and spin-motion physics using strong, tunable dipolar inter…
Viewed by You are the first to view
A 319-million-year-old tissue is the oldest known vertebrate brain.
Interested?
Viewed by You are the first to view
A more relevant metric to gauge the success of the scientific enterprise is the extent to which advances — whether incremental or totally novel — translate into real human impact.
Interested?
Viewed by You are the first to view
The CT-scanned skull of a 319-million-year-old fossilized fish, pulled from a coal mine in England more than a century ago, has revealed the oldest example of a well-preserved vertebrate brain.
Added by Auto importer
Interested?
Viewed by You are the first to view
Viewed by You are the first to view
If she hits just the right pitch, a singer can shatter a wine glass. The reason is resonance. While the glass may vibrate slightly in response to most acoustic tones, a pitch that resonates with the material's own natural frequency can send its vibrations int…
Added by Auto importer
Interested?
Viewed by You are the first to view
It is probably too easy to take vases for granted since they're meant to hold the flowers that are supposed to grab your attention. Of course, the right combina
Interested?
Viewed by You are the first to view
Light-harvesting (LH) supramolecules, which appear in a variety of structural configurations, are essential for photosynthesis in plants and some microorganisms. These LH molecules have not yet been created artificially.
Viewed by You are the first to view
New UC Riverside research suggests nitrogen released by gas-powered machines causes dry soil to let go of carbon and release it back into the atmosphere, where it can contribute to climate change, suggests the findings of UC Riverside's new research.
Interested?
Viewed by You are the first to view