Recency
冬眠研究で世界をリードする砂川玄志郎さんのインタビューの全容は「テレ東BIZ」で配信中(入会月無料)⇒ https://txbiz.tv-tokyo.co.jp/original2/vod/post_275523?utm_source=biz&utm_medium=meta&utm_campaign=230607...
Viewed by You are the first to view
At TU Wien (Vienna, scientists use microscopy techniques to observe chemical reactions on catalysts more precisely than before yielding a wealth of detail. This made clear why some effects cannot be predicted.
Viewed by You are the first to view
Outdated ISS system will need an upgrade if we're to go further into space
Interested?
Viewed by You are the first to view
The rainbow palette and cooling powers of new plant-based films comes from their microscopic surface patterns of tiny crystals.
Viewed by You are the first to view
The permafrost inside the Batagay crater is the second-oldest ever found on Earth and scientists are using it to reconstruct the planet's ancient climate.
Viewed by You are the first to view
Science X network: Science X is a network of high quality websites with most complete and comprehensive daily coverage of the full sweep of science, technology, and medicine news
Interested?
Viewed by You are the first to view
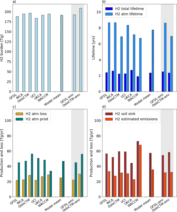
The 100-year Global Warming Potential of hydrogen falls in the range 11.6 ± 2.8, according to chemistry-model estimates, through its chemical impact on methane, ozone and stratospheric water vapor. It is therefore important to avoid leakages in a hydrogen eco…
Viewed by You are the first to view
At least three separate optical phenomena are visible in the new images. Each of which is created by light refracting through millions of perfectly aligned ice crystals in the upper atmosphere.
Added by Auto importer
Interested?
Viewed by You are the first to view
A father and daughter from Jackson got a rare, close-up view of a great white shark.
Viewed by You are the first to view
The star's chemical fingerprints represent evidence of pair-instability supernovae of the first massive stars, a new study suggests.
Viewed by You are the first to view
Researchers have pinpointed a molecular chain reaction that helps breast cancer to metastasize, suggesting a way of preventing secondary tumors.
Added by Auto importer
Interested?
Viewed by You are the first to view
No one likes the idea of being bitten by mosquitoes, yet climate conditions, especially in southern England are becoming increasingly more hospitable to mosquitoes. Luckily an expert has shared natural methods to get rid of them in the house and in gardens.
Interested?
Viewed by You are the first to view
Viewed by You are the first to view
Viewed by You are the first to view
It is well-known that black holes result from the death of massive stars. But physicists think that there are other ways to form black holes.
Added by Auto importer
Interested?
Viewed by You are the first to view
Some single-celled microorganisms both eat food and photosynthesise can signal global temperatures approaching tipping points.
Interested?
Viewed by You are the first to view
We asked Google Bard, the AI chatbot, about the possibility of a major solar storm in 2023. The answer was quite terrifying. Find out what it revealed.
Added by Auto importer
Interested?
Viewed by You are the first to view
The use of short flashes of X-ray light brings scientists one big step closer toward developing better catalysts to transform the greenhouse gas methane into a less harmful chemical. The result, p ...
Added by Auto importer
Interested?
Viewed by You are the first to view
A well-connected nest reduces the surface area-to-volume ratio, potentially enhancing thermoregulation efficiency, improving larvae development and winter survival.
Viewed by You are the first to view
Masturbation seems to provide some evolutionary advantage to primates, especially when males compete for mates.
Viewed by You are the first to view
Abstract. We systematically compare the temporal and spectral properties of 53 Supernova (SN)-associated and 15 Kilonova (KN)-associated Gamma-Ray Bursts (GRBs)
Viewed by You are the first to view
Abstract. The gamma-ray binary LS I +61°303 has been widely monitored at different wavelengths since its discovery more than sixty years ago. However, the natur
Viewed by You are the first to view
Researchers at Kyoto University, Okinawa Institute of Science and Technology Graduate University (OIST), and Photron Limited in Japan have developed the world's fastest camera capable of detecting fluorescence from single molecules.
Viewed by You are the first to view
Breast cancer spreading to other organs usually heralds a poorer prognosis. Researchers at the University and University Hospital of Basel have discovered a process that helps breast cancer cells implant themselves in certain places in the body.
Viewed by You are the first to view
To mark the 20th anniversary of the Mars Express mission, the ESA has released a stunning color mosaic image of Mars.
Viewed by You are the first to view