Recency
Here, the authors describe a pathogenic fungus from a 400-million-year-old fossil plant from the Devonian Rhynie Chert in Scotland. They use advanced imaging methods to determine that the fungus belongs to the sac fungi, the most diverse group of Fungi today.
Viewed by You are the first to view
When Emiliano Cortés goes hunting for sunlight, he doesn't use gigantic mirrors or sprawling solar farms. Quite the contrary, the professor of experimental physics and energy conversion at LMU dives into the nanocosmos.
Viewed by You are the first to view
A scientist notes ominous similarities to the ends of previous ice ages
Added by Auto importer
Interested?
Viewed by You are the first to view
NASA researchers get permission to apply for China’s moon samples NASA-funded researchers have been granted permission to apply for access to China's Chang'e-5 lunar samples in an exception to a prohibition on bilateral activities.
Viewed by You are the first to view
A space rock named asteroid 2023 WD3 is going to make a close approach to Earth today, says NASA. Check speed, size, and more.
Viewed by You are the first to view
The dean of MIT’s School of Science embraces skepticism and failure, and she wants the next generation of scientists to jump right in.
Viewed by You are the first to view
The team analyzed data from the heaviest black hole merger detected so far.
Added by Auto importer
Interested?
Viewed by You are the first to view
NASA astronomers have found their own it is a rare in-sync solar system with six planets moving like a grand Cosmic Orchestra untouched by outside forces sin...
Viewed by You are the first to view
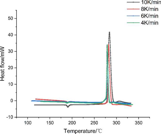
Scientific Reports - Simulation of thermal hazards risk in octogen based on non-isothermal DSC data
Added by Auto importer
Interested?
Viewed by You are the first to view
At first glance, stars may appear as gentle luminaries illuminating the cosmic void and nurturing life within their solar domains. However, delving deeper
Viewed by You are the first to view
It’s that time of year again: winter! Here in the Northern Hemisphere, the cold, crisp sky offers spectacular views of the Orion Nebula!
Viewed by You are the first to view
Based on the rocket its riding on, the secretive spacecraft is likely launching farther than ever before.
Viewed by You are the first to view
Earth will become too hot to handle in a billion years. There's a (very) remote chance a passing star could save us by knocking our planet back into the habitable zone.
Viewed by You are the first to view
US News: NASA has announced a provisional launch date of July 2028 for its Dragonfly mission to explore Saturn's moon Titan. The mission, originally scheduled
Viewed by You are the first to view
A 2,000-foot-long hydrothermal field teeming with life and giant chimneys spouting boiling water has been discovered next to an underwater volcano off the coast of Ecuador.
Interested?
Viewed by You are the first to view
Space near earth is teeming with objects, whether natural, like meteors and comets, or manmade, like satellites, spacecraft and rocket debris
Viewed by You are the first to view
Check back for live FLORIDA TODAY Space Team launch coverage updates posted on this page, starting 90 minutes before the launch window opens.
Viewed by You are the first to view
NASA said that it is working on getting the Hubble Space Telescope up and running after it went into safe mode due to a malfunctioning gyroscope.
Viewed by You are the first to view
Two new species of pygmy squid have been discovered off Okinawa and named after mythical creatures.
Viewed by You are the first to view
Andromeda Galaxy will make its brightest appearance this week. Heres how to watch it.
Viewed by You are the first to view
Here's a list of 10 Animals that sleep while standing.
Added by Auto importer
2 similar
Interested?
Viewed by You are the first to view
The mission is anticipated to last about five years, with the payloads exploring X-ray sources while the spacecraft passes through Earth's shadow during the eclipse period.
Viewed by You are the first to view
The combined data allowed researchers to better understand how spider pulsars prey on their companion stars.
Added by Auto importer
Interested?
Viewed by You are the first to view
Science X network: Science X is a network of high quality websites with most complete and comprehensive daily coverage of the full sweep of science, technology, and medicine news
Interested?
Viewed by You are the first to view