Recency
The National Academies’ latest decadal survey, “Thriving in Space,” released Sept. 12, provides a roadmap for biological and physical sciences research, from the low orbit of Earth to the surface of Mars, through 2033.
Viewed by You are the first to view
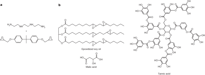
We present a sustainably sourced adhesive system, with performance comparable to that of current industrial products, made from epoxidized soy oil, malic acid and tannic acid, all biomass derived, low cost and readily available.
Viewed by You are the first to view
The bacterial effector proteins of the AvrE family function as membrane channels in plant cells, enabling the passage of water and solutes from host cells to support pathogen growth, and disrupting the viability of the host cell.
Viewed by You are the first to view
Viewed by You are the first to view
The so-called photonic neural network systems, which are quick and energy-efficient, are particularly beneficial for dealing with huge amounts of data.
Viewed by You are the first to view
Sunlight is considered to be an unlimited source of energy, and using sunlight to produce electricity is known to be one of the bases of renewable energy.
Viewed by You are the first to view
Tests suggest the fermented drink can survive the harsh conditions of space, with the bacteria able to repair itself from damage caused by cosmic radiation.
Interested?
Viewed by You are the first to view
The creatures likely were present in South America 40 million years before dinosaurs did.
Viewed by You are the first to view
Once considered stable, The Brunt Ice Shelf is accelerating rapidly into the Weddell Sea, according to the British Antarctic Survey (BAS), which monitors Brunt at its Halley Research station. Halley Station recorded the retreat after two massive...
Viewed by You are the first to view
The creatures likely were present in South America 40 million years before dinosaurs did.
Viewed by You are the first to view
NASA will put your name on a spaceship and blast it off to another planet.
Added by Auto importer
Interested?
Viewed by You are the first to view
Sunlight is an inexhaustible source of energy, and utilizing sunlight to generate electricity is one of the cornerstones of renewable energy. More than 40% of the sunlight that falls on Earth is in the infrared, visible and ultraviolet spectra; however, curre…
Viewed by You are the first to view
Using the Large Phased Array (LPA) radio telescope of the Lebedev Physical Institute (LPI) in Pushchino, Russia, astronomers have detected two new rotating radio transients (RRATS). The finding is reported in a research paper published September 2 on the pre-…
Viewed by You are the first to view
This week, the teens at TFCN fact-checked a viral video that claimed to be recorded by a camera on Chandrayaan 3. Here’s what they found!#chandrayaan3 #isro ...
Viewed by You are the first to view
HONG KONG SAR - Media OutReach - 13 September 2023 - Since ancient times, humans have observed astronomical phenomena and dreamed of exploring the worlds beyond ours. When Neil Armstrong first stepped on the moon's surface on July 20, 1969, he said, "That's o…
Added by Auto importer
Interested?
Viewed by You are the first to view
"I want to understand why our best tools — our gold standard tools — are not agreeing with each other."
Viewed by You are the first to view
This article explores the legal issues related to space tourism, liability, safety regulations, and the commercialization of outer space.
Viewed by You are the first to view
Science News: Scientists from the Jawaharlal Nehru Centre for Advanced Scientific Research (JNCASR) in Bengaluru have discovered that naturally occurring plant-base
Viewed by You are the first to view
To better understand this phenomenon, the experts assessed whether shoreline spiders’ tissue contained mercury from adjacent aquatic sources
Viewed by You are the first to view
NASA has revealed crucial information about the close approaches of 5 asteroids with the help of advanced space and ground-based telescopes. One of them will pass at a distance closer than the Moon! Know their speed, size, distance, and other details.
Interested?
Viewed by You are the first to view
Lucy took the photograph on September 2 and 5 when it was approximately 23 million km away from Asteroid Dinkinesh, says NASA.
Viewed by You are the first to view
An international team of astronomers led by the University of Cambridge has used data from the NASA/ESA/CSA James Webb Space Telescope to discover methane and carbon dioxide in the atmosphere of K2-18 b, an exoplanet in the ‘Goldilocks zone’. This is
Viewed by You are the first to view
Viewed by You are the first to view