• You need to sign in or sign up before continuing.
Close
Recency
A class of nonvolatile memory devices, called MRAM, based on quantum magnetic materials, can offer a thousandfold performance beyond current state-of-the-art memory devices. The materials known as antiferromagnets were previously demonstrated to store stable …
Viewed by You are the first to view
The Science Museum has announced plans to open a new gallery this summer dedicated to engineering innovations that have changed the world.
Viewed by You are the first to view
KUFSTEIN, Austria, Jan. 19, 2023 (GLOBE NEWSWIRE) -- Emerging process solution provider Single Use Support has launched RoSS.PADL, an unprecedented......
Viewed by You are the first to view
NIA-funded researchers identified characteristics of the microbiome that change with age and may contribute to age-related conditions.
Interested?
Viewed by You are the first to view
Machine learning allows computers to mimic human behaviour by teaching them historical data and knowledge about potential future events.
Viewed by You are the first to view
Detection of a Radio Signal:- Astronomers from McGill University in Canada and the Indian Institute of Science (IISc) in Bengaluru have used data from the Giant Metrewave Radio Telescope (GMRT) in Pune to detect a radio signal originating from atomic hydrogen…
Viewed by You are the first to view
Viewed by You are the first to view
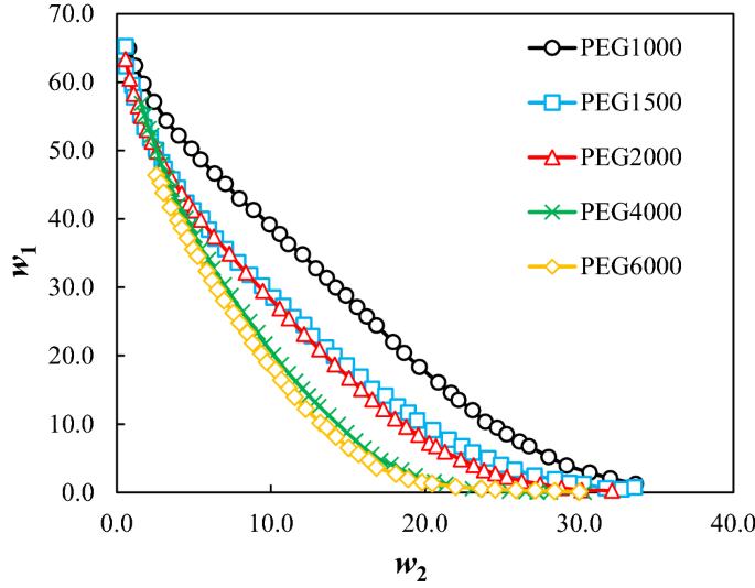
Scientific Reports - Phase diagrams of PEG1000,1500,2000,4000,6000 + lithium citrate + water ATPSs, and the partitioning of salbutamol at T = 298.15 K
Viewed by You are the first to view
An asteroid has been caught sneaking into a galaxy image by the Hubble Space telescope. Here is all you need to know.
Viewed by You are the first to view
By Ashley Strickland, CNN A new survey of the Milky Way galaxy has unveiled 3.3 billion celestial objects. Our galaxy is brimming with hundreds of billions of stars, dark pillars of dust and gas, and gleaming stellar nurseries where stars are born. Now, astro…
Viewed by You are the first to view
According to researchers, Antarctica, although a tough place to work, is one of the best places on the globe to hunt for meteorites
Interested?
Viewed by You are the first to view
Chinese astronomers recently discovered a distribution law of stellar mass that applies when stars are born. The new finding challenges a classical theory of astrophysics and will have a profound impact on frontier research in fields such as the evolution of …
Viewed by You are the first to view
A glucose-derived molecule found in immune cells could stop the growth of bacteria and dampen inflammatory responses by helping to reprogram the immune system.
Viewed by You are the first to view
Not far off from the Cycladic paradise of Santorini, the Kolumbo volcano remains dormant, but forever threatening. Alarmingly, researchers have detected
Viewed by You are the first to view
Viewed by You are the first to view
Space debris DISASTER in the making NASA shows yearbyyear timeline NASA Space debris is the term used to describe defunct humanmade objects present in the orbit around the Earth high up in the sky. Shockingly over the years it has covered the region of our pl…
Viewed by You are the first to view
New Data Provides Insights Into an Early Era of Star Formation By peering into a well-known star cluster within the Small Magellanic Cloud, Webb’s NIRCam instrument has revealed many new pockets of star formation that have never been seen. Further, new struct…
Viewed by You are the first to view
Hera’s time of trial
Interested?
Viewed by You are the first to view
The researchers focused on theropod fossils from the Chilean portion of Patagonia
Interested?
Viewed by You are the first to view
Scientists from UNSW Sydney have demonstrated a novel technique for creating tiny 3D materials that could eventually make fuel cells like hydrogen batteries cheaper and more sustainable.In the study published in Science Advances, researchers from the
Viewed by You are the first to view
Red Walls - LiveWire
1/19/23 at 11:10am
The poem is a lament over the hopeless situation of DU students, left without the professors who helped them realise their potential.
Interested?
Viewed by You are the first to view
Some of the upcoming space exploration missions to look forward to this year.
Interested?
Viewed by You are the first to view
NASA Astronomy Picture of the Day 19 January 2023: Bewitching Star-forming Seagull Nebula located in the constellation Monoceros.
Viewed by You are the first to view
‘Revolutions’ in nuclear fusion and artificial intelligence offer cause for optimism in the new year, writes Bevan Hurley
Added by Auto importer
Interested?
Viewed by You are the first to view
Human muscles have the capacity to function as furnaces, converting fuel into action to produce the heat required to maintain a constant body temperature.
Interested?
Viewed by You are the first to view